四 、硝酸钠的测定
1. 方法摘要
在强酸性溶液中,以过量的硫酸亚铁铵与硝酸根作用。多余的亚铁用重铬酸 钾回滴,以苯基代邻氨基苯甲酸指示反应终点,氯化钠为接触剂。
3Fe²++NO₃+4H⁺=3Fe³++NO↑+2H₂O
Cr₂O2-7+6Fe²++14H⁺=2Cr³++6Fe³++7H₂O
2. 试剂
(1)硫酸相对密度1.84;
(2)氯化钠 固体;
(3)苯基代邻氨基苯甲酸指示剂 见试剂(110);
(4)0.1mol/L 硫酸亚铁铵标准滴定溶液 见试剂(7);
(5)0.02mol/L 重铬酸钾标准滴定溶液 见试剂(6)。
3. 分析方法
吸取镀液5mL 于250mL 锥形瓶中,加0.1mol/L 硫酸亚铁铵标准滴定溶液 25mL, 摇动中缓缓加硫酸25mL、氯化钠0.5g,加热煮沸3min。冷却,小心加水 50mL、苯基代邻氨基苯甲酸指示剂数滴,以0.02mol/L重铬酸钾标准滴定溶液滴定至紫红色为终点。
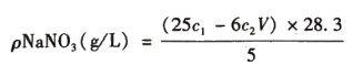
4. 计算
硝酸钠的质量浓度
式中
c₁—— 硫酸亚铁铵标准滴定溶液的浓度(mol/L);
C₂——重铬酸钾标准滴定溶液的浓度(mol/L);
V——消耗重铬酸钾标准滴定溶液的体积(mL);

转载自《实用电镀液分析方法手册》 冯开文 编


Copyright © 2021 深圳市恒享表面处理技术有限公司 All Rights Reserved 备案号:粤ICP备09192382号 技术支持:易百讯 - 深圳网站建设