方 法 2 :EDTA 滴定法
1.方法摘要
先加入一定量的标准锌溶液,在pH=3.8 时,与焦磷酸根生成焦磷酸锌沉淀, 过量的Zn²+ 以 EDTA 回滴,然后计算出P₂O4- 的含量。
2Zn²++P₂O-=Zn₂P₂O₁↓
2. 试剂
(1)1mol/L 乙酸溶液取58mL 冰乙酸,以水稀释至1L;
(2)pH=10 缓冲溶液见试剂(124);
(3)PAN 指示剂见试剂(113);
(4)0.05mol/L EDTA标准滴定溶液见试剂(14);
(5)0.2mol/L 乙酸锌标准滴定溶液称取[Zn(CH₃CO0)₂ ·2H₂0] 43.9g,
溶解于水,加数滴溴甲酚绿指示剂,用冰乙酸调至黄色为止,于容量瓶中加水至1L, 摇匀,标定如下:
吸取此液10mL于250mL锥形瓶中,加水50mL、pH=10的缓冲溶液10mL、铬 黑T 指示剂少许,用0.05mol/L EDTA标准滴定溶液滴定至由红色转纯蓝色为 终点。

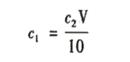
式中.c₁—— 乙酸锌标准滴定溶液的浓度(mol/L);
c₂——EDTA 标准滴定溶液的浓度(mol/L);
V——消耗EDTA标准滴定溶液的体积(mL)。
3.分析方法
吸取镀液1mL 于300mL 锥形瓶中,加水100mL、PAN 指示剂数滴,以 0.05mol/L EDTA标准滴定溶液滴定至由红色变绿色(以上是测铜),然后加入 1mol/L乙酸10mL~15mL, 使溶液的pH 为3.8~4.0,准确加入25mL乙酸锌标准 滴定溶液,此时溶液由绿变紫,煮沸,冷却后移入200mL 容量瓶中,加水至刻度,摇 匀。干纸过滤,准确吸取100mL 滤液于250mL 锥形瓶中,加入10mL~15mL pH= 10的缓冲溶液,以0.05mol/L EDTA标准滴定溶液滴定至由紫色变橙绿色为终点。
4. 计算
总焦磷酸根的质量浓度

式中 c₁— 乙酸锌标准滴定溶液的浓度(mol/L);
V₁—— 加入乙酸锌标准滴定溶液的体积(mL);
C₂——EDTA 标准滴定溶液的浓度(mol/L);
V₂——消耗EDTA标准滴定溶液的体积(mL);
173.9——Mr(P₂O4-)。
转载自《实用电镀液分析方法手册》 冯开文 编
5. 附 注
( 1 ) 加 1mol/L 乙酸调整pH 时,须用精密试纸测试。
(2)此液滴定后可留作测定正磷酸根用。
转载自《实用电镀液分析方法手册》 冯开文 编


Copyright © 2021 深圳市恒享表面处理技术有限公司 All Rights Reserved 备案号:粤ICP备09192382号 技术支持:易百讯 - 深圳网站建设