1. 方法摘要
本法基于酸碱滴定,氰化物用硝酸银除去,碳酸盐用氯化钡除去,以百里香酚 酞指示,用盐酸滴定。
CN-+Ag+=AgCN↓
Ba²++CO2-3 =BaCO₃↓
NaOH+HCl =NaCl+H₂O
2. 试剂
(1)氯化钡溶液100g/L;
(2)百里香酚酞指示剂 见试剂(105);
(3)0.1mol/L 硝酸银标准滴定溶液见试剂(11);
(4)0.2mol/L 盐酸标准滴定溶液见试剂(2)。
3. 分析方法
吸取镀液2mL~5mL于250 mL锥形瓶中,加水50mL,加0. 1mol/L 硝酸银标 准滴定溶液(其量较测定游离氰化物的多1mL~2mL,边加边摇动),加氯化钡溶液 20mL、百里香酚酞指示剂数滴,用0.2mol/L盐酸标准滴定溶液滴定至蓝色消失为 终点。
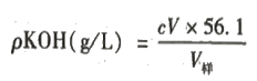
4. 计算
氢氧化钠的质量浓度

氢氧化钾的质量浓度

式中
c——盐酸标准滴定溶液的浓度(mol/L);
V——消耗盐酸标准滴定溶液的体积(mL);
40——Mr(NaOH);
56.1——Mr(KOH)。
5. 附注
(1)测定游离氰化物后的溶液,可以补加1mL 硝酸银,再加入氯化钡和百里 香酚酞指示剂后,用盐酸标准滴定溶液滴定,不必另行取样。
(2)可以用氯化钙代替剧毒试剂氯化钡,氯化钙溶液pH 要调整到与氯化钡 溶液相同。
转载自《实用电镀液分析方法手册》 冯开文 编


Copyright © 2021 深圳市恒享表面处理技术有限公司 All Rights Reserved 备案号:粤ICP备09192382号 技术支持:易百讯 - 深圳网站建设