六 、酒石酸钾钠的测定
方法1:氧化还原法
1. 方 法 摘 要
室温下用稀硫酸分解氰化物并分离氰化亚铜,以重铬酸钾氧化酒石酸盐。过 量的重铬酸钾氧化碘化钾,产生游离碘,用硫代硫酸钠滴定,以淀粉指示。
Na₂[Cu(CN)3]+H₂SO4=CuCN↓+2HCN↑+Na2SO4
2NaCN+H₂SO4=2HCN↑+Na2SO4
6KNaC₄H₄O6+10K2Cr₂O7+46H2SO4=
24CO2↑+10Cr₂(S0₄)3+13K2SO₄+3Na2SO₄+58H₂0
Cr₂O2-7+6I-+14H+=2Cr3++3I2+7H₂O
l2+2NaS2O4=2Nal+Na2S4O₆
2. 试 剂
(1)硫酸相对密度1 .84、1+1;
( 2 ) 碘 化 钾 固 体 ;
(3)淀粉指示剂见试剂(128);
(4)0.02mol/L 重铬酸钾标准滴定溶液见试剂(6);
(5)0.1mol/L 硫代硫酸钠标准滴定溶液见试剂(8)。
3. 分析方法
吸 取 镀 液 5mL 于100mL 容量瓶中,加水20mL、在通风橱内加1+1硫酸 10mL, 间 断 摇 动 5min 至反应完全停止后,以水定容,混匀。干纸过滤,吸取滤液 20mL(含原液1mL) 置于250mL碘量瓶中,加入5mL 浓硫酸煮沸1min。取下稍冷, 准确加入0.02mol/L 重铬酸钾标准滴定溶液V₁mL,插入200℃水银温度计(160℃ 处做上标记),加热至160℃,立即取下冷却,加水100mL、碘化钾2g, 盖塞摇匀,放 置 2min,以0 . 1mol/L 硫代硫酸钠标准滴定溶液滴定至淡黄色,加淀粉指示剂 2mL, 继续滴定至蓝色消失为终点。
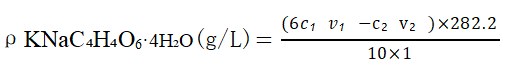
4. 计 算
酒石酸钾钠的质量浓度

式 中 c₁—重铬酸钾标准滴定溶液的浓度(mol/L);
V₁——加入重铬酸钾标准滴定溶液的体积(mL);
c₂——硫代硫酸钠标准滴定溶液的浓度(mol/L);
V₂—— 消耗硫代硫酸钠标准滴定溶液的体积(mL);
282.2——Mr(KNaC₄H₄O₆·4H₂O)。


Copyright © 2021 深圳市恒享表面处理技术有限公司 All Rights Reserved 备案号:粤ICP备09192382号 技术支持:易百讯 - 深圳网站建设