方法2:EDTA 容量法
1. 方法摘要
加氢氧化钠于镀铬溶液中,三价铁等金属离子生成氢氧化物沉淀过滤除去,氟 硅酸钠生成氟离子留在溶液中。滤液中加入氯化钙溶液,在pH=4~4.5, 氟定量 生成氟化钙沉淀,将沉淀在pH=10 的溶液中溶于过量的EDTA中,用锌标准溶液 回滴过量的EDTA, 即可计算出氟硅酸钠的含量。
H₂SiF₆+6NaOH=6NaF+SiO₂+4H₂O
(1)盐酸1+1;
(2)氢氧化钠 固体;
(3)pH=10 缓冲溶液见试剂(124);
(4)PAN 指示剂见试剂(113);
(5)硝酸铵50g/L;
(6)醋酸1+1;
(7)氨水1+1;
(8)甲基红指示剂 见试剂(102);
(9)0.1mol/L 氯化钙溶液见试剂(13);
(10)0.05mol/L锌标准滴定溶液见试剂(15);
(11)0.05mol/LEDTA 标准滴定溶液见试剂(14)。
3.分析方法
吸取镀液20mL于300mL烧杯中,加水30mL,加氢氧化钠(见附注1)溶解摇 匀,加热煮沸。冷却至室温后移入100mL 容量瓶中,以水定容并混匀。干纸过滤, 吸取滤液25mL(含原液5mL)于300mL烧杯中,加甲基红数滴,滴加1+1 盐酸至 呈红色,加入氯化钙15mL,滴加氦水至呈黄色,再滴加1+1醋酸至橙红色(pH= 4~4.5)。微沸10min,在温暖处静置1h, 用紧密滤纸过滤,用硝酸铵溶液洗涤。将 滤纸放回原烧杯中,加水50mL、0.05mol/LEDTA标准滴定溶液25mL、pH=10缓 冲溶液20mL,将溶液加热至70℃~80℃沉淀全部溶解。冷却至室温,加PAN指 示 剂数滴,用0.05mo/L 锌标准滴定溶液滴定至由黄色变红色为终点。
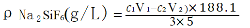
4.计算
氟硅酸钠的质量浓度

式中 c₁——EDTA标准滴定溶液的浓度(mol/L);
V1——加入EDTA标准滴定溶液的体积(mL);
c₂——锌标准滴定溶液的浓度(mol/L);
V₂——消耗锌标准滴定溶液的体积(mL);
188.1——Mr(Na₂SiF₆)。
5. 附注
(1)在本操作中,镀液每含100g/L铬酐,加氢氧化钠2.5g,以此计算加入总量。
(2)硫酸钙沉淀溶解度较大,镀液中含硫酸2g/L 以下不干扰测定。
转载自《实用电镀液分析方法手册》 冯开文 编


Copyright © 2021 深圳市恒享表面处理技术有限公司 All Rights Reserved 备案号:粤ICP备09192382号 技术支持:易百讯 - 深圳网站建设