七、六价铬的测定
1.方法摘要
二苯氨基脲与六价铬生成红色化合物,借此进行比色测定。镀液中存在的双 氧水使结果偏低,本测定采用较低的酸度控制双氧水的影响,用镀液做参比,消除 其它有色物质的干扰。
2. 试 剂
( 1 ) 盐 酸 1 + 9 9 ;
(2)二苯氨基脲4g苯二甲酸酐溶于100mL热乙醇中,冷却后加二苯氨基脲
0.5g,搅拌溶解,在冰箱内存放,可保存数星期
(3)六价铬基准液 称取优级纯重铬酸钾0.1132g溶于100mL 容量瓶中,加 水稀释至刻度,摇匀,吸此稀释液5mL 于1000mL 容量瓶中稀释至刻度,摇匀,含铬 2μg/mL。
3. 分析方法
吸取镀液1mL两份于两个50mL容量瓶中:一份加盐酸10mL,以水定容后作
为空白液;另一份加水10mL、二苯氨基脲2mL, 显色1min~2min, 加1+99盐酸
10mL, 以水定容后,用3cm 比色皿,在波长530nm 处测定吸光度,在标准曲线上查 得六价铬质量m(μg)。
标准曲线的绘制:分别吸取六价铬基准液0、2.0mL 、4.0mL,6.0mL,8.0mL 10.0mL 于 6 个 5 0mL 容量瓶中,同上操作,以水为参比,测定吸光度,绘制标准 曲线。
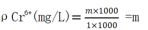
4. 计算
六价铬的质量浓度

八、六价铬的定性鉴定
于50mL试管中放入10mL100g/L 碘化钾溶液,加入10mL乙酸乙酯,摇匀。
加入1mL 三价铬镀铬溶液,若出现红色,表示镀液含有六价铬。注意:双氧水有同 样反应,镀液需煮沸使双氧水全部分解,冷却后再进行试验。
转载自《实用电镀液分析方法手册》 冯开文 编


Copyright © 2021 深圳市恒享表面处理技术有限公司 All Rights Reserved 备案号:粤ICP备09192382号 技术支持:易百讯 - 深圳网站建设