方法3:硫酸和铜的连续测定
1.方法摘要
基于酸碱滴定,以甲基橙为指示剂,用氢氧化钠滴定硫酸,然后加缓冲液提高 pH至10,用PAN 指示,以EDTA滴定铜。
2. 试剂
(1)甲基橙指示剂 见试剂(101);
(2)PAN 指示剂 见试剂(113);
(3)pH=10 缓冲溶液 见试剂(124);
(4)0.1mol/L 氢氧化钠标准滴定溶液见试剂(4);
(5)0.05mol/L EDTA标准滴定溶液 见试剂(14)。
3. 分析方法
吸取镀液1mL于250mL锥形瓶中,加水50mL、甲基橙指示剂2滴,以0.1mol/L 氢氧化钠标准滴定溶液滴定至由红色转黄色为终点(V₁)。 加缓冲液10mL、PAN 指示剂3滴,溶液转紫红色,以0.05mol/L EDTA标准滴定溶液滴定至绿色为终点 (V₂)。
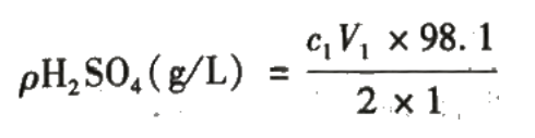
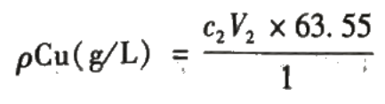
4.计算
硫酸的质量浓度

铜的质量浓度

式中 c₁——氢氧化钠标准滴定溶液的浓度(mol/L);
V₁— 消耗氢氧化钠标准滴定溶液体积(mL);
C₂——EDTA 标准滴定溶液的浓度(mol/L);
V₂—— 消耗EDTA 标准滴定溶液体积(mL);
98.1——Mr(H₂SO₄);
63.55——Ar(Cu)。
转载自《实用电镀液分析方法手册》 冯开文 编


Copyright © 2021 深圳市恒享表面处理技术有限公司 All Rights Reserved 备案号:粤ICP备09192382号 技术支持:易百讯 - 深圳网站建设