方法2:碘量法
1. 方法摘要
原理同氰化镀铜溶液中铜的碘量法测定,省去破氰的手续。
2. 试剂
(1)氢氧化钠溶液100g/L;
( 2 ) 磷 酸 1 + 1 ;
(3)碘化钾溶液200g/L;
(4)硫氰酸铵溶液100g/L;
(5)氟化氢铵 固体;
(6)淀粉指示剂 见试剂(128);
(7)0.1mol/L 硫代硫酸钠标准滴定溶液见试剂(8)。
3. 分析方法
吸取镀液1mL于250mL锥形瓶中,加水50mL,滴加氢氧化钠溶液至产生沉淀, 再滴加1+1磷酸至沉淀溶解,加氟化氢铵1g,溶解摇匀,加碘化钾溶液15mL, 用 0.1mol/L 硫代硫酸钠标准滴定溶液滴定至浑浊的淡黄色,加淀粉指示剂5mL, 滴 定至浅蓝色时,加硫氰酸铵溶液10mL, 继续滴定至蓝色消失变乳白色为终点。
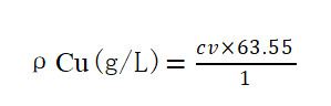
4. 计 算
铜的质量浓度

硫酸铜的质量浓度

式中 c——硫代硫酸钠标准滴定溶液的浓度(mol/L);
V——消耗硫代硫酸钠标准滴定溶液体积(mL);
63.55——Ar(Cu);
249.7——Mr(CuSO₄·5H₂O)。
转载自《实用电镀液分析方法手册》 冯开文 编


Copyright © 2021 深圳市恒享表面处理技术有限公司 All Rights Reserved 备案号:粤ICP备09192382号 技术支持:易百讯 - 深圳网站建设