滴定的原理及计算公式
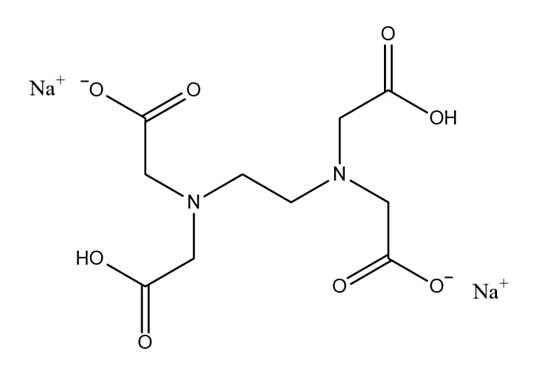
EDTA-2钠结构图

EDTA-4钠的结构图

滴定的原理及计算公式
EDTA的结构图

EDTA-4钠的结构图

分析过程
1、加氨水的目的是保证此pH条件下,EDTA的强络合性
2、EDTA与镍离子形成1:1的络合物, 稳定络合之后,显色不同
3、既然是1:1络合, 消耗的EDTA的摩尔数就是镍离子的摩尔数,镍分子量近似为58.7,所以得出结果
整个络合过程,钠离子或者OH-并不参与,因此,使用的是EDTA-2钠还是-4钠,都不影响。溶解时候加入氢氧化钠也不影响


Copyright © 2021 深圳市恒享表面处理技术有限公司 All Rights Reserved 备案号:粤ICP备09192382号 技术支持:易百讯 - 深圳网站建设