七、硫氰酸钾的测定
1. 方法摘要
用硝酸、双氧水破坏氰化物,于酸性溶液中用溴水氧化CNS 为 SO2-4, 加氯化 钡生成硫酸钡沉淀,以质(重)量法或络合滴定法求得硫酸钡质量,换算为硫氰酸 钾的含量。
KCNS+4Br₂+4H₂O=KHSO₄+7HBr+CNBr
Ba²⁺+SO2-4=BaSO₄↓
2.试剂
(1)氯化钡溶液25g/L;
(2)饱和溴水;
(3)硝酸1+8;
(4)双氧水30%。
3.分析方法
吸取镀液5mL 于400mL 烧杯中,加硝酸100mL,在通风橱中加热至沉淀凝聚, 取下,加双氧水10mL,摇动直至沉淀溶解,溶液清亮。小心加溴水50mL,加热
10min, 于90℃放置1h, 冷却后再加双氧水10mL,煮沸。加氯化钡50mL,放置1h。 用定量滤纸过滤,以热水洗涤沉淀数次,将滤纸及沉淀置于已恒重的瓷坩埚中, 燥、灰化,在800℃-900℃灼烧30min,在干燥器中冷却,称量。
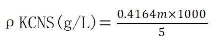
4. 计算
硫氰酸钾的质量浓度

式 中 m—— 硫酸横的质量(g);



Copyright © 2021 深圳市恒享表面处理技术有限公司 All Rights Reserved 备案号:粤ICP备09192382号 技术支持:易百讯 - 深圳网站建设