【别名】APA
【英文名】octyl acrylamide sugar
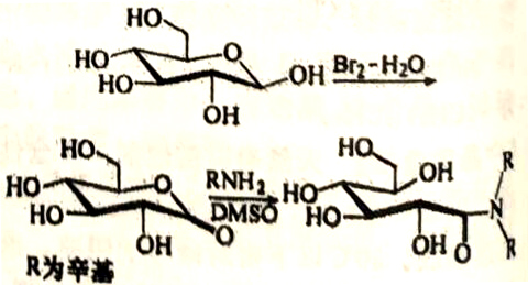
【结构式】见反应式
【物化性质】APA去污力高、泡沫稳定、生物降解性良好、复配增效性好,微溶于水,溶解度随温度的升高而升高。
【质量标准】
【用途】辛基葡糖酰胺表面活性剂主要应用于洗涤剂、印染纺织和化妆品等行业,在各种清洁或护理产品中的常规用量为3.0%~30.0%;作为乳化剂时,可乳化油酸、硬脂酸、各种硅油、石蜡等,pH在5.0~7.0的范围内具有最佳使用效果;可以替代脂肪醇醚羧酸盐AEC、脂肪醇醚琥珀酸酯磺酸盐、脂肪醇醚碘酸酯盐K12等传统难降解的表面活性剂。用于香波配方中。包装规格:内衬塑料袋的编织袋包装,净重25kg。
【制法】葡萄糖经氧化剂氧化后成内酯糖、用DMSO作为溶剂、内酯氨解得产物。反应式如下:
【产品安全性】温和、安全、无毒。30℃以下密封储存于阴凉、通风的库房中,室温避光保质6个月。运输中防雨淋、防曝晒、防破损。
【参考生产企业】上海信然实业有限公司。
本文转载自《化工产品手册第六版——表面活性剂》编著 朱领地
(想查询更多表面处理文章,您可以扫描下方二维码点击关注公众号:易镀,公众号内有更多详细的表面处理文章,欢迎您的订阅)
易镀,十分专业的表面处理信息平台,金属表面处理/镁合金蚀刻剂/镁合金除油剂/镁合金漂白剂/镁合金转化膜/环保铝除灰剂/铝三价铬钝化剂/低磷化学镍/铝中磷化学镍/高磷化学镍/银光剂/银保护等。
表面处理难题可咨询:13600421922(程生)


Copyright © 2021 深圳市恒享表面处理技术有限公司 All Rights Reserved 备案号:粤ICP备09192382号 技术支持:易百讯 - 深圳网站建设