介绍印制电路板(printedcircuitboard,PCB)的电镀铜相关知识,重点介绍衡量电镀铜效果的重要指标,即均镀能力(throwingpower,TP)和深镀能力(covering power)。
基本概念
电镀技术是表面处理技术中重要的一类技术,当谈及电镀技术时,不可不谈及深镀能力与均镀能力。均镀能力又称镀液的分散能力,深镀能力又称镀液的覆盖能力,见标准T/CPCA1001—2022《电子电路术语》。在实际生产中,这2个指标常用于衡量电镀镀层均匀性与镀层的覆盖度。
张三元等1认为,镀液的分散能力是指在一定的电沉积条件下,镀液使被沉积金属在阴极(工件)表面上均匀分布的能力;镀液的覆盖能力是指在一定的电镀条件下,使被沉积金属在镀件表面全部覆盖的能力。此外,覃奇贤等对分散能力和覆盖能力也有如下的定义:分散能力是电镀液的重要性能之一,它是指电镀液能使镀层的厚度在被镀覆零件表面均匀分布的能力。从分散能力好的镀液中得到的镀层厚度在各部位都是均匀的。覆盖能力是指镀液在复杂形状零件的凹洼处或深孔中能沉积出镀层的能力,也叫深镀能力。沉积的金属镀层将零件覆盖的面积越大,该镀液的覆盖能力越好。也就是说,在这2个词语的中文定义中,对覆盖能力与分散能力的定义是从电镀的效果上解释的:覆盖是指在镀件上都能沉积上金属,分散是指沉积上的金属尽可能的具有均匀的厚度。因此,分散能力好的镀液一定覆盖能力好,但是覆盖能力好的镀液并不一定有好的分散能力。
早期来历
TP和深镀能力最早的定义要追溯到19世纪下半叶,当时TP与深镀能力主要应用于描述珠宝首饰等的表面处理技术。Hoar等4在1947年发表文章描述TP为:在不需要相似的阳极或者几何装置的情况下,能在几何形状不规则的阴极上沉积均匀镀层的镀液具有良好的TP。同样,Kanani对深镀能力的定义为,用于描述沉积电解质覆盖整个镀件表面的程度,具有合理的均匀镀层,在凹槽和腔体中至少有一些沉积。可以看出,在对TP和深镀能力进行定义时,不管是英文定义以及之后的中文翻译定义,均是从电镀的结果进行定义且没有定量的标准,并沿用至今。
相关机理
当谈及TP和深镀能力时,就要谈到初次电流分布与二次电流分布。初次电流分布是受到几何因素(主要是镀槽和阳极)的影响而形成的电流分布;二次电流分布是受到化学因素、金属离子的扩散速度等影响所形成的电流分布。深镀能力与TP都被认为与初次与二次电流密度高度相关。
在进行金属的电沉积时,经常遇到如下的问题:在电池壳上电镀金属镍时,需要加辅助电极,否则很难在阴极沉积上金属镍;电镀金属铬时,三价的铬离子比六价铬离子更容易沉积3;酸性硫酸铜的电镀,几乎不用考虑其深镀能力,因为酸性硫酸铜的电沉积总是能沉积上金属铜,而经常讨论的是其TP。这3种情况中,可以说明电镀镍和电镀六价铬的镀液覆盖能力差(也即深镀能力差),而电镀铜的深镀能力好。通过对比分析镍离子和铜离子循环伏安曲线差异获得深镀能力的定义。
Cu²+、Nit的循环伏安曲线分别如图1和图2所示。实验采用的铜离子及镍离子镀液的组分见表1。实验采用的电化学工作站为瑞士万通PGSTAT302N,工作电极为旋转圆盘铂电极(直径为5mm),参比电极为汞/硫酸亚汞电极,电极为铜电极(将铜棒封于底部有多孔陶瓷的玻璃管中)。实验温度为25℃,工作电极的旋转速度为1500r/min,循环伏安扫描速率为100mV/s。

图1 铜离子的循环伏安曲线

图2 镍离子的循环伏安曲线

表1 循环伏安实验使用的电镀铜和电镀镍镀液
由图1可见,铜离子的还原电位和平衡电位分别是-0.43V和-0.06Vvs.SSE[相比于饱和硫酸汞电极(versussaturatedmercuroussulfateelectrode)]。由图2可见,镍离子的还原电位和平衡电位分别是-0.90V和-0.20Vvs.SSE。通过计算,铜离子从平衡电位到开始沉积铜的电位差为0.37V,而镍离子从平衡电位到开始沉积金属镍的电位差则为0.70V。这2个电位差的差异造成了铜沉积与镍沉积深镀能力的差异,也就是说该电位差描述了铜离子和镍离子从该种溶液中得到电子能力的强弱。在电镀镍时,使用辅助电极能够降低电镀镍时的极化,使镍沉积更易进行;而电镀铜从平衡点到开始沉积铜的电位差较小(远小于镍),因此在电镀铜沉积时,不管其镀件的外形如何,总是能沉积上铜,基本不用考虑其深镀能力,仅需考虑其镀层厚度均匀性的问题(TP)。
通过以上分析可知,深镀能力和TP一直都是通过其结果来定义的。由对镍和铜沉积的循环伏安曲线分析可以得知,深镀能力的更深层次含义为金属镀液的平衡电位与开始沉积金属的电位的差值,此差值越大,则表明此镀液的深镀能力(覆盖能力)越差,越难沉积上金属;相反,差值越小,则表明此镀液的深镀能力越好,越易沉积上金属。这种定义是由金属离子从该种电镀液中得到电子并在阴极沉积的能力强弱来区分的。即深镀能力是金属离子上镀的能力,而TP是镀层均匀性的问题。
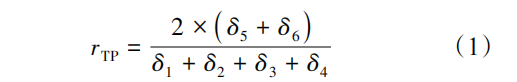
TP衡量
TP是指镀液能使镀层的厚度在镀件表面均匀分布的能力。在通孔电镀中,衡量TP的标准可表示为
式中:δ₁、δ₂、δ₃和δ₄分别为通孔表面镀层的厚度;δ₅和δ₆分别为通孔孔内镀层的厚度。
对应参数所代表的测量位置如图3所示。在实际测量过程中,可以在δ₅和δ₆的上下方各再取1个点到2个点,使TP的评估更加准确。当rp值>80%时,可以认为镀液的TP良好。

图3 rTp值测量示意
常采用的提高rTp的方法是调整电镀液的配方,向镀液中加入添加剂改变铜离子在通孔内部和表面的覆盖率且改变铜离子的反应途径;同时,还可以对电镀槽进行改进,目的是加强孔内的传质速率,从而提高孔内的电流密度和电镀速率,最终实现通孔的均匀电镀。
结语
TP和深镀能力是衡量电镀效果的重要指标。本文通过对深镀能力和TP的定义进行探究,发现深镀能力的定义是从结果出发,并没有对其进行更深层次的讨论。从酸性电镀铜及电镀镍镀液的循环伏安分析得出,深镀能力的差异主要是由该种金属镀液的平衡电位和沉积电位的电位差造成的,此电位差大则难沉积金属,此电位差小则易沉积金属。因此深镀能力即为金属离子在该种电镀液中得到电子并沉积于阴极上的能力,也就说明深镀能力是上镀的能力。TP则是镀层均匀性的问题。


Copyright © 2021 深圳市恒享表面处理技术有限公司 All Rights Reserved 备案号:粤ICP备09192382号 技术支持:易百讯 - 深圳网站建设